قام البائع بإيقاف تلقي طلبات جديدة لبيع الخدمة بشكل مؤقت
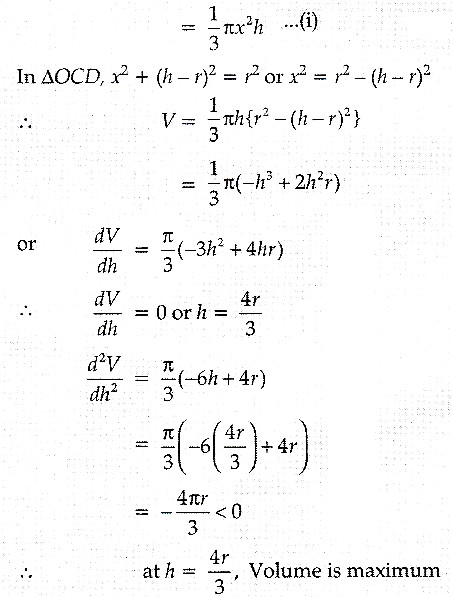
حل التكاملات والمعادلات التفاضلية للمراحل الدراسية الاولية والجامعية بختلف درجاتها
0
(0)
الوصف
حل التكاملات ورسم منحنيات المساحة تحتها , وحل المعادلات التفاضلية بنختلف درجاتها الاسية للمراحل الجامعية والدراسية مع الرسوم البيانية اذا تم طلبها
معادلة او مسالة واحدة مقابل 5 دولار
البائع
معلومات
السعر
$5
مدة التسليم
يوم
طلبات قيد التنفيذ
0
الطلبات المكتملة
0
العملاء
0
المبيعات
0
خدمات أخري للبائع
البرمجة واجهات المستخم في الاكسل
20
0
(0)
العربية
English