تحليل بيانات بأستخدام Python

0 (0)

الوصف

السلام عليكم و رحمة الله و بركاته
أنا طالب حاسبات و معلومات، أعرض خدمة تحليل البيانات.
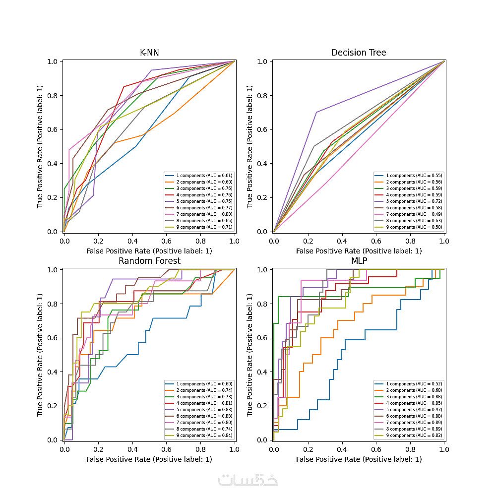
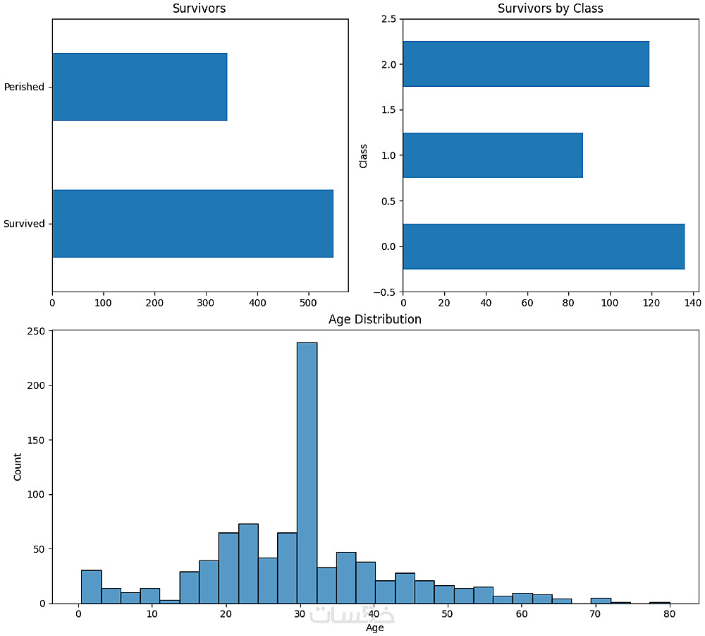
سأحلل بيانات من العملاء، و أصدر رسوم بيانية و أستنتاجات و مقترحات بناًء على متطلبات العميل و أحتياجاته.

ما الذي ستستلمه
الملفات المصدرية (Source Code)
الملفات المصدرية الأصلية التى حللت البيانات و أنتجت الرسوم البيانية

تقرير مكتوب
تقرير فيه نتائج تحليل البيانات و الرسوم البيانية، بالإضافة إلى الأستنتاجات و التوصيات

شراء الخدمة

المبلغ الكلي $5

البائع

معلومات

السعر $5
مدة التسليم 10 أيام
طلبات قيد التنفيذ 0
الطلبات المكتملة 0
العملاء 0
المبيعات 0

الخدمات المقترحه

Developed by Samer Zaki

All rights reserved © kaf 2026