تحليل البيانات في بايثون Data analysis in python

منذ 3 أشهر

عرض العمل

الوصف

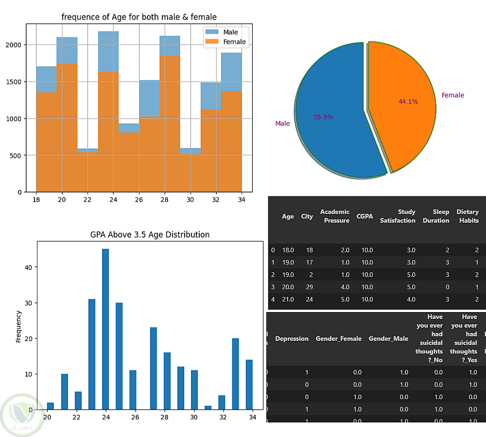
يهدف هذا المشروع إلى تحليل بيانات استبيانات الطلاب المتعلقة بالصحة النفسية، بهدف التعرف على أنماط مرتبطة بالاكتئاب لدى الطلاب ودعم المبادرات المهتمة بالتوعية بالصحة النفسية.

Pandas لتنظيف البيانات وتجهيزها، والتعامل مع القيم المفقودة والبيانات غير المتسقة.
Bash Scripts لأتمتة عمليات المعالجة الأولية للبيانات وتسريع سير العمل.
NumPy لإجراء العمليات الرياضية والإحصائية بكفاءة.
Matplotlib و Seaborn لتوليد تصورات بيانية واضحة تسهّل فهم النتائج.
Scikit-learn لتطبيق خوارزميات التعلم الآلي مثل تحليل الانحدار، التصنيف، واستخدام تقنيات NLP لاستخراج رؤى من الإجابات النصية غير المهيكلة.

النتائج ساهمت في:
تقليل وقت التحليل بنسبة 25% بفضل تحسين خطوات تجهيز البيانات.
استخراج رؤى قيمة من البيانات النصية التي تدعم قرارات حملات التوعية.
بناء نموذج أولي يساعد في التنبؤ بمستويات الاكتئاب اعتمادًا على إجابات الطلاب.


التفاصيل

المشاهدات 23
المفضلة 0
القسم برمجة, تطوير المواقع و التطبيقات - اخري

حساب المستخدم

Developed by Samer Zaki

All rights reserved © kaf 2026