التنبؤ بأسعار المنازل باستخدام تعلم الآلة

منذ 3 أيام

عرض العمل

الوصف

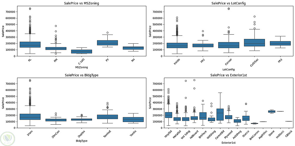
مشروع تعلم آلة متقدم يهدف إلى التنبؤ بأسعار العقارات اعتمادًا على بيانات حقيقية تحتوي على خصائص المنازل مثل المساحة، الحالة، الموقع، وسنة البناء.

تم استخدام Python لتحليل البيانات وبناء نماذج تنبؤية، بدءًا من تنظيف البيانات، معالجة القيم المفقودة، وتحويل المتغيرات الفئوية، وصولًا إلى هندسة الخصائص (Feature Engineering) مثل عمر المنزل والمساحات اللوغاريتمية.

واجهت عدة تحديات مثل اختلاف أنواع البيانات ووجود قيم مفقودة ومتغيرات فئوية عالية التعقيد، وتم حلها باستخدام تقنيات ترميز مختلفة (One-Hot & Target Encoding) ومعالجة دقيقة داخل Pipelines منظمة.

تم تجربة عدة نماذج تشمل Linear Regression وRidge Regression وPolynomial Regression مع تحسين المعاملات باستخدام Grid Search، بالإضافة إلى اختيار أفضل الخصائص لتحسين الأداء.

💡 القيمة التي يقدمها المشروع:
فهم العوامل المؤثرة في أسعار العقارات
بناء نموذج تنبؤي دقيق للأسعار
دعم قرارات التقييم والاستثمار العقاري
تطبيق عملي كامل لدورة حياة مشروع تعلم الآلة


التفاصيل

المشاهدات 0
المفضلة 0
القسم برمجة, تطوير المواقع و التطبيقات - اخري

حساب المستخدم

Powered By Brmja Tech

All rights reserved © kaf 2026