تحليل وتوقع مغادرة العملاء (Customer Churn) باستخدام تعلم الآلة

منذ 3 أيام

عرض العمل

الوصف

قمت بتنفيذ مشروع لتحليل بيانات انسحاب العملاء (Customer Churn) لشركة اتصالات بهدف فهم أسباب مغادرة العملاء والتنبؤ بالعملاء المحتمل انسحابهم باستخدام تقنيات تحليل البيانات وتعلم الآلة في Python.

في هذا المشروع تم استكشاف البيانات وتنظيفها وتحليل العلاقات بين المتغيرات مثل مدة الاشتراك، نوع العقد، الخدمات المستخدمة، والفواتير الشهرية لمعرفة العوامل التي تؤثر على قرار العميل في الاستمرار أو المغادرة.

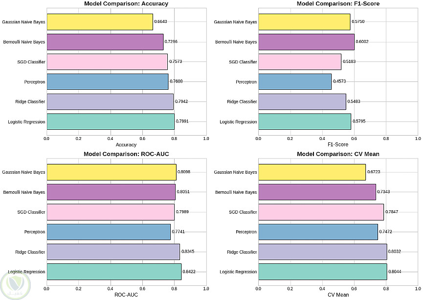
بعد ذلك تم بناء عدة نماذج Machine Learning للمقارنة بينها والتنبؤ بانسحاب العملاء مثل:

Logistic Regression

Naive Bayes

Perceptron

Ridge Classifier

SGD Classifier

كما تم تقييم أداء النماذج باستخدام مقاييس مثل:

Accuracy

Precision

Recall

F1 Score

ROC-AUC

يعرض هذا المشروع مهاراتي في تحليل البيانات، معالجة البيانات، بناء نماذج تعلم الآلة، وتقييم النماذج باستخدام Python ومكتبات مثل Pandas وScikit-learn وSeaborn.


التفاصيل

المشاهدات 0
المفضلة 0
القسم برمجة, تطوير المواقع و التطبيقات - اخري

حساب المستخدم

Powered By Brmja Tech

All rights reserved © kaf 2026