تحليل البيانات واستخراج الرؤى باستخدام Python و Pandas

0 (0)

الوصف

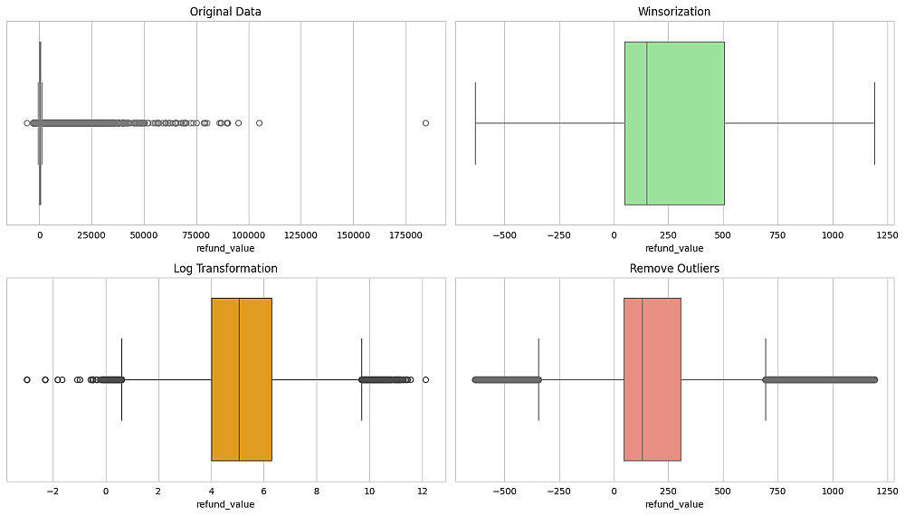
سأقوم بتحليل بياناتك بشكل احترافي باستخدام Python وأدوات تحليل البيانات مثل Pandas و NumPy و Matplotlib، بهدف استخراج رؤى مهمة تساعدك في اتخاذ قرارات أفضل.
سأقوم بفهم البيانات، تنظيفها، تحليلها، ثم عرض النتائج بطريقة واضحة وسهلة الفهم باستخدام الرسوم البيانية والتقارير.
الحد الأدنى: 1,000 سجل (rows) لضمان نتائج مبدئية جيدة.
الحجم المثالي: 5,000 – 100,000 سجل للحصول على أداء دقيق للنموذج.

شراء الخدمة

المبلغ الكلي $5

البائع

معلومات

السعر $5
مدة التسليم يوم
طلبات قيد التنفيذ 0
الطلبات المكتملة 0
العملاء 0
المبيعات 0

الخدمات المقترحه

Powered By Brmja Tech

All rights reserved © kaf 2026