سأقوم ببناء نموذج Machine Learning بسيط للتنبؤ أو التصنيف

0 (0)

الوصف

اقدم خدمة متكاملة تشمل تحليل البيانات، بناء نماذج تعلم الآلة، وتصميم تصورات بيانية واضحة وجذابة. سأساعدك في جمع وتحليل البيانات، وتطبيق تقنيات تعلم الآلة لبناء نماذج تنبؤية دقيقة.
تشمل الخدمة:
تحليل البيانات: تحليل بيانات تصل إلى حتى 5000 صف من البيانات بصيغة CSV أو Excel.
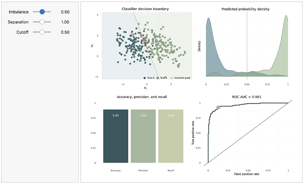
نمذجة تعلم الآلة: بناء نموذج تعلم آلي باستخدام تقنيات التصنيف والتعلم الموجه (Supervised Learning) مع تدريب نموذج واحد.
تصميم التصورات البيانية: تصميم حتى 3 تصورات بيانية باستخدام الرسوم الشريطية والدائرية لتحويل البيانات إلى معلومات بصرية واضحة وسهلة الفهم.
التطويرات المتاحة: إذا كنت بحاجة إلى تحليل بيانات بحجم أكبر أو عدد أكبر من التصورات البيانية، يمكنني تقديم خدمة مخصصة بناءً على احتياجاتك الخاصة مقابل تكلفة اضافية.
أنا هنا لمساعدتك في تحقيق أهداف مشروعك باستخدام تقنيات متقدمة وتصاميم فعالة. لا تتردد في التواصل معي لمزيد من التفاصيل أو لمناقشة احتياجاتك.

شراء الخدمة

المبلغ الكلي $5

البائع

معلومات

السعر $5
مدة التسليم يوم
طلبات قيد التنفيذ 0
الطلبات المكتملة 0
العملاء 0
المبيعات 0

الخدمات المقترحه

Powered By Brmja Tech

All rights reserved © kaf 2026